Google Adsense Ads
৩। নিচের তালিকা অনুসারে নির্দেশনায় বর্ণিত প্রশ্নগুলোর উত্তর লেখ।
নির্দেশনা :
Li
Ве
N
F
Br
(ক) উপরের তালিকায় শূন্যস্থানের মৌলটির নাম, প্রতীক ও ইলেকট্রন বিন্যাস লিখবে।
(খ) উপরের তালিকায় যে পর্যায়ের কথা বলা হয়েছে সেই পর্যায়ের মৌলগুলোর আয়নিকরন শক্তি কীরুপে পরিবর্তীত হয় তা ব্যাখ্যা করবে।
(গ) একই গ্রুপের উপর হতে নিচের দিকে অগ্রসর হলে তড়িৎ ঋণাত্মকতার কি পরিবর্তন হবে, তালিকার আলােকে বিশ্লেষণ করে লিখবে।
উত্তর:
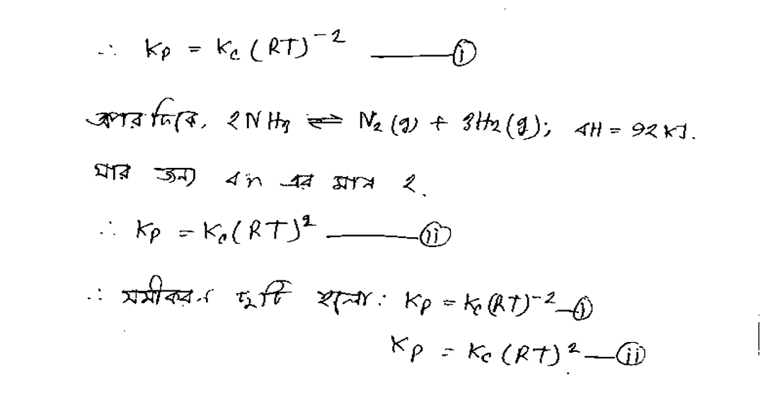
৪। N2+3H; 5 ? + 92.2 KJ/mol
নির্দেশনা :
ক) বিক্রিয়াটি পূর্ণ করবে
খ) উক্ত বিক্রিয়ার ক্ষেত্রে ভরক্রিয়ার সুত্র ব্যবহার করে K, ও K. এর সমীকরণ লিখবে।
গ) উক্ত বিক্রিয়ার ক্ষেত্রে তাপ ও চাপের প্রভাব আছে কি না ব্যাখ্যা করবে।
উত্তর:
H.S.C
Google Adsense Ads
- এইচএসসি ভোকেশনাল রসায়ন-১ (৮১৪১৩) অ্যাসাইনমেন্ট উত্তর
- একতরফা দাখিলা পদ্ধতিতে কিভাবে লাভ – লোকসান নির্ণয় প্রক্রিয়া আলোচনা
- কার্যপত্র ও আর্থিক অবস্থার সংজ্ঞা দাও ?
- জাবেদা তৈরি, গাণিতিক শুদ্ধতা যাচয়, তিনঘরা নগদান বই
- সকল লেনদেনই ঘটনা , কিন্তু সকল ঘটনা লেনদেন নয় ” উদাহরন দাও । অনুসরণ
- এইচএসসি ( বিএম ) হিসাববিজ্ঞান নীতি ও প্রয়োগ -১ ( ১৮১৫ ) অ্যাসাইনমেন্ট উত্তর
- HSC BM Economics and Commercial Geography (1816) Assignment Answer
- ভূমিকম্পে কী ধরণের ক্ষয়-ক্ষতি হয় তা উল্লেখসহ ক্ষয়-ক্ষতি রােধে কী কী করণীয় লিখবে
- সরকারি অর্থব্যবস্থা কী লিখবে, সরকারি আয়ের উৎস এবং শিক্ষা ও স্বাস্থ্য খাতে সরকারের ভূমিকা উল্লেখ লিখবে
- অর্থনীতি মাথাপিছু আয় কী লিখবে, মাথাপিছু আয় বৃদ্ধির উপায় লিখবে
Google Adsense Ads
1 thought on “N2+3H; 5 ? + 92.2 KJ/mol বিক্রিয়াটি পূর্ণ করবে”